Palladium series 催化燃烧催化剂

Product Details

产品详情

产品介绍

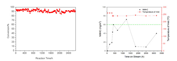
1)脂肪烃废气净化催化剂,废气有机成分的去除率≥95%。催化剂的特点:

- 高催化活性;

- 热稳定性好,最高耐温750℃;

- 耐水性好,废气含水10~20%。



2)涂装废气净化催化剂,催化活性高,适宜风量大,浓度低(≤300mg/m3)的涂装废气。特点:

  - 装载量更小,成本更低

  - 寿命长,抗毒性强

  - 转化效率 >97%

  - 长期工作温度200~700 oC



3)工业有机废气催化剂,催化活性高,寿命长,适用于含氧有机物(酯、酮、醛、醚)的催化燃烧。





技术参数

Copyright © 赢博·体育-赢博(中国). All rights reserved. 营业执照
制作维护
qy千亿-千亿(国际)唯一官方网站 qy球友会-官方网站_qy球友会(中国) 球友会体育_球友会(中国) 球友会官方网页版-球友会(中国) 天博网页版-天博(中国) 乐虎官方网站_乐虎(中国) 乐虎体育中国官方网站 亿德体育(中国)有限公司 G22恒峰-官方网站