1、催化合成技术
公司基于对贵金属催化剂的深刻理解,在研究催化剂的同时,开发并形成了比较完整的催化还原、催化氢解、催化偶联、氢甲酰化等一系列催化合成技术,具有绿色环保、安全高效、低成本、易操作的特点,主要包括吡啶加氢系列、氨基苯酚系列、氢甲酰化系列、选择性脱氯系列、硝基加氢系列等几十种医药、农药中间体的催化合成技术。为客户提供的服务有:
1. 开发化合物低成本,高效率的催化合成新工艺路线;
2. 催化氢化取代传统高污染的硫化物,锌粉,铁粉还原;
3. 协助客户进行工艺和产品开发,快速实现从克级到吨级的生产工艺放大;

2、催化合成工艺技术
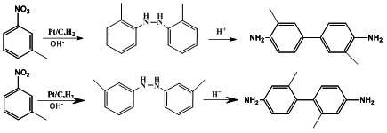
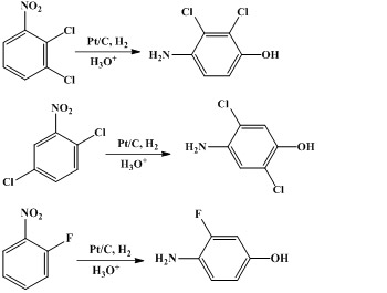
(1)硝基还原工艺研究及应用
利用贵金属催化氢化取代锌粉、铁粉还原等,解决污染大的环保问题,而且能降低生产成本。

联苯胺的合成

染料中间体的合成

对氨基苯酚的合成

UV系列氢化还原

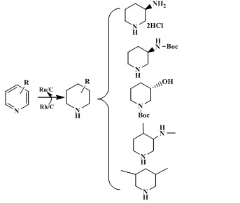
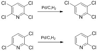
(2)吡啶环氢化技术及产品
采用成本较低的Ru/C,PtO2取代昂贵的Rh/C

(3)偶联反应(C-C,C-N,C-B)
采用均相或者多相催化剂催化Ullmann,Suzuki,heck,Buchwald–Hartwig 反应,能高效回收贵金属,有效降低生产成本。

(4)手性催化还原
利用新颖的手性PNN,PPN等三齿配体,实现C=C,C=O,C=N反应的高转化率,高手性选择。

(5)多氯吡啶选择性脱氯

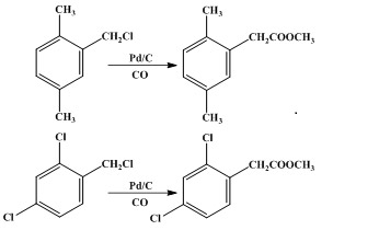
(6)Pd/C催化羰基化反应的研究和应用
Pd/C催化羰基化法:制备出高性能可商用化的Pd/C,取代传统的均相催化剂,具有以下优势:
1.取代剧毒类、高污染的NaCN工艺;

2. 解决均相Pd类催化剂回收率低、生产成本高的问题。

Pd/C催化氯苄类底物羰基化
农药中间体

医药中间体

Pd/C催化溴苯类底物羰基化
利用Pd/C替代PdCl2(PPh3)2 , 应用于农药的生产工艺改进,能极大降低成本。

(7)氢甲酰化反应的研究和应用
烯烃氢甲酰化制备醛,利用先进的双亚磷酸酯和亚磷酸酯聚合物配体,高效转化为酸,醇,胺类化合物,合成重要的香料,医药中间体,增塑剂等。

吨级产品生产和金属回收能力:
RhCl(PPh3)3,RhH(CO)(PPh3)3,Rh(acac)(CO)2,[Rh(COD)2]BF4, RhI3等。


通过调节膦配体的结构和反应条件,调节反应的选择性,生成不同结构所需的产物。

转换率大于96%,正构醛:异构醛=30:1;

转换率大于98%,正构醛:异构醛=21:1;

转换率大于98%,正构醛:异构醛=47:1。
抗炎镇痛药



新一代多元醇酯:航空发动机油、高温链条油、合成空气压缩机油以及与环保制冷剂相容的冷冻机油基础油。
